Hollywood's AI Fight Is Happening Right Now. Here's Where IATSE Editors Stand.

Hollywood's AI Fight Is Happening Right Now. Here's Where IATSE Editors Stand.

Last week the WGA reached a tentative four-year deal with the AMPTP. One of the headline wins: studios must now compensate writers when their scripts are used to train AI models. AI training data licensing went from a negotiating position to a contractual reality in a single cycle. SAG-AFTRA, whose contract expires June 30, resumes talks with the studios on April 27 with AI protections still the central unresolved issue. The whole industry is watching.

IATSE's Basic Agreement expires July 31, 2027. That negotiation is next. And the precedents being set right now across the WGA and SAG-AFTRA deals are the floor IATSE will try to build from. AI won’t be the only thing IATSE will be discussing, but with all the hype right now it’s definitely taking center stage in the public eye.

Before that conversation gets going, it's worth understanding what IATSE editors already have. I've been cutting professionally for over 15 years: sports docs, long-form documentary, scripted features, hybrid projects. Emmy-nominated. Credits on Amazon, Netflix, TNT. I'm an affiliate member of American Cinema Editors, sit on the ACE internship and education committees, and I'm on the West Coast IATSE Industry Experience Roster. I'm also already using AI tools on current projects right now, thinking constantly about how to use the technology responsibly, how to be compensated fairly, and how to protect colleagues who might be displaced by it.

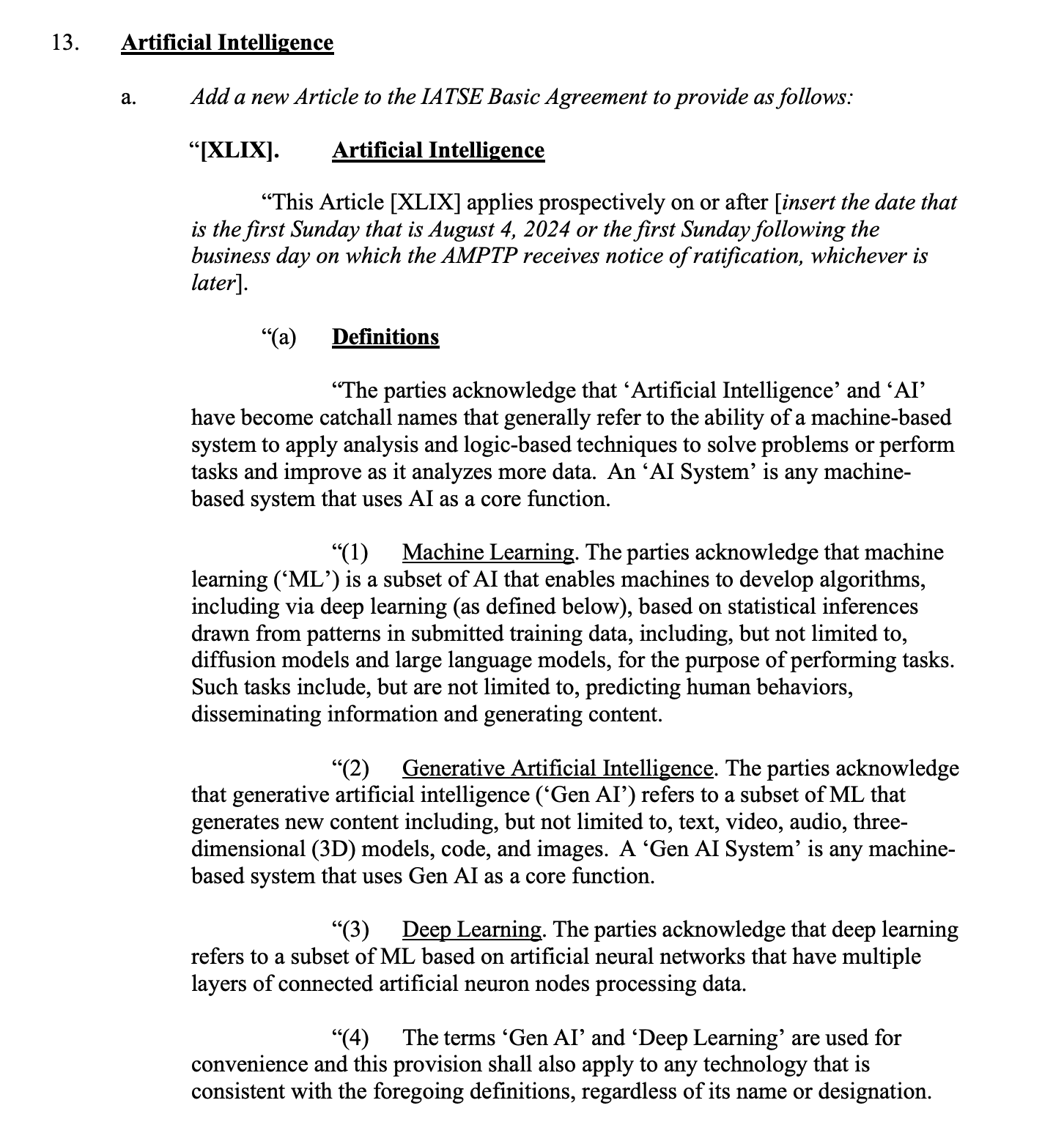
So I went back and read the 2024 IATSE Basic Agreement. The full executed Memorandum of Agreement (MOA) is [publicly available]. The AI provisions live in Article XLIX, starting on page 38. Here's what it actually says and where the gaps are that the 2027 negotiation needs to close.

Article XLIX(a): How the Agreement Defines AI (p. 38)

Before getting to the protections, it's worth knowing how the contract defines the technology it's governing. The agreement defines an "AI System" as "any machine-based system that uses AI as a core function." It separately defines Generative AI as "a subset of ML that generates new content including, but not limited to, text, video, audio, three-dimensional (3D) models, code, and images."

That definition is broad enough to cover the tools most editors are already using: transcription tools, AI audio cleanup, object masking, generative fill. If it generates content or makes decisions based on trained data, it's likely an AI System under this agreement.

Article XLIX(c)(2)(i): If AI Work Is Assigned to You, It's Still Covered Work (p. 39)

This one doesn't get enough attention. The contract states that producers retain the right to require employees to use AI Systems, but adds a critical protection: "Employees who are assigned to utilize an AI System to perform services, including by inputting prompts or otherwise overseeing the use of the AI System, shall continue to be covered under the terms of the applicable Agreement while performing such work."

That matters. AI-assisted work doesn't fall outside the contract into some gray zone. You're still working a union gig, same rates, same terms.

Article XLIX(c)(2)(ii): The Displacement Clause (p. 39)

This is the one that gets quoted most in coverage of the deal: "The Producer will not require an employee to provide prompts furnished by the employee in the performance of bargaining unit work in a manner that results in the displacement of any covered employee."

"Bargaining unit work" means any work covered by the union agreement. Plain language: a studio can't require you to use an AI tool in a way that eliminates another union member's job. If prompting an AI assembly tool means a music editor loses a day of work, that's covered.

What it doesn't do is stop studios from using AI tools on their own. The protection is about what you are required to do, not what the studio is allowed to do independently.

Article XLIX(c)(2)(iv): The Producer Has to Indemnify You (p. 40)

This provision gets almost no coverage, but it's significant. The contract states that "the Producer shall indemnify the employee from liability and necessary costs, including by providing the employee a legal defense resulting from any claims arising from the use of AI Systems or the resulting output occurring in the performance of the employee's duties."

In plain terms: if you're required to use an AI tool on a union production and that use generates a copyright claim or IP dispute, the Producer has to cover your legal defense. There are conditions: you can't be in gross negligence or in breach of their disclosed policies. But the baseline protection is real and worth knowing before you're handed a prompt and told to run it.

Article XLIX, Footnote 1: Reimbursement for Your Own AI Tools (p. 39)

If you bring your own AI system to a production and the Producer agrees to use it, the contract specifies that "Producer and employee shall negotiate for reasonable reimbursement for such use." It's a footnote, not a full provision, but it's an explicit acknowledgment that editor-owned AI tools have negotiable value. Treat it the way you'd treat kit rental for a personal hard drive.

Article XLIX(h): Scanning of Your Likeness Requires Consent (p. 42)

The consent provision is more specific than a lot of coverage has made it sound. It covers visual and vocal likeness scanning specifically: "No employee shall be subject to scanning of their visual or vocal likeness for use in a motion picture without the employee's consent."

The consent has to be "clear and conspicuous," separately signed or initialed, and cannot be a condition of employment. A copy goes to the union before it's presented to any employee. This isn't about studios scanning your project files or timelines. That concern is real, but this clause addresses your face and voice in motion pictures specifically.

Article XLIX(e): Ongoing Meetings (p. 41)

The contract establishes two tracks of ongoing oversight. First, semi-annual joint industry-wide meetings at the request of the International Union to review how producers are using AI Systems. Second, each producer agrees to meet quarterly with the International Union on a company-by-company basis, with the producer identifying "any significant emerging technologies utilizing AI Systems that the Producer is using or intends to use."

Topics on the table include job impact, physical safety around AI-controlled equipment, bias mitigation, and upskilling for experienced employees.

What This Is, and What It Isn't

The sideletter added alongside Article XLIX is direct about the agreement's scope: it "calls for regular meetings between the parties during the term to keep the Union advised and informed of developments in the use of AI Systems affecting bargaining unit members."

Some IATSE members went on record calling this deal a starting point, not a finish line, and voted no specifically over AI concerns. The contract ratified, but not without real debate inside the membership.


The honest read: these are guardrails, not a wall. The arbitration clause in Article XLIX(f) makes that explicit: an arbitrator reviewing a violation "shall have no authority to prohibit or restrict the use of any AI System or the resulting outputs." The tools are here to stay. What this contract does is set the terms for how they're deployed and who's protected when they are. If you're non-union, none of this covers you directly today. But this is the clearest picture the industry has produced so far of where AI protection starts and stops. Worth knowing before you're across the table negotiating your own deal.

What Comes Next: The 2027 Negotiation

The current IATSE Basic Agreement expires July 31, 2027. That means the next negotiation starts in roughly a year maybe even earlier if you use the WGA as the example. The pace of what's already happening in the rest of Hollywood makes it clear that AI will be the central issue again, and the terms will need to go further.

The WGA just showed how far things can move in a single cycle. The guild reached a tentative four-year deal with the AMPTP on April 4, 2026, a full month before their contract was set to expire. The AI provisions in that deal are a meaningful step forward from 2023: studios are now required to compensate writers if their scripts are used to train AI models, AI-generated material cannot be used as source material under the minimum basic agreement (meaning it can't undermine a writer's credit or separated rights), and studios must disclose to writers when any materials they're handed were generated by AI. The WGA also reserved the right to assert that using writers' material for AI training without compensation is prohibited under existing law.

SAG-AFTRA is still at the table. The union broke off talks with the AMPTP on March 15 after five weeks of negotiations, with AI protections as the central sticking point. SAG-AFTRA chief negotiator Duncan Crabtree-Ireland made it clear that "airtight AI protections" were a requirement for any deal. Talks are set to resume April 27, with SAG-AFTRA's contract expiring June 30. The WGA agreement sets a floor. What SAG-AFTRA wins on AI (particularly around digital replicas, synthetic performances, and the proposed "Tilly tax" on AI-generated work) will shape what IATSE can realistically push for in 2027.

Each negotiation cycle builds on the last. The 2023 strikes established the first real AI provisions in Hollywood contracts. IATSE's 2024 deal built on that groundwork. The WGA's 2026 agreement moved the training data question from a demand to a contractual reality. The 2027 IATSE round will be shaped by whatever SAG-AFTRA closes this spring, plus nearly three years of data on how studios have actually been deploying these tools in production.

The gaps in the current IATSE agreement are visible. The scanning consent clause covers your visual and vocal likeness, but doesn't explicitly address studios using your cut sequences, timelines, or editorial decisions as AI training data. The displacement clause covers what you're required to do, but not what the studio does independently. The reimbursement for personal AI tools sits in a footnote, not a full provision.

Those gaps are where the 2027 negotiation starts. The question is what editors want to see closed.

What would you push for? Stronger training data protections? Explicit compensation structures for AI-assisted workflows? Credit language when AI tools are used in a final cut? The conversation is already happening in the WGA and SAG-AFTRA rooms. The more clearly editors can articulate what they need before IATSE sits back down at the table, the better positioned the membership is to get it.


For more reading on the impact of AI in post production check out this article by editor A.J. Cantoline, ACE!

https://cinemontage.org/facing-the-future-editors-brace-for-the-impact-of-ai-on-post-production/

Sources:

2024 IATSE Basic Agreement, General Memorandum of Agreement (July 3, 2024, effective August 1, 2024). Article XLIX: Artificial Intelligence, pp. 38-42. Full executed document: [IATSE Local 728]/ [Editors Guild]

"What's At Stake in the WGA and SAG-AFTRA 2026 Negotiations"— No Film School, 2026
"What to Expect from the SAG-AFTRA 2026 Contract Negotiations"— IndieWire, 2026

"Writers Guild Reaches Four-Year Deal With Studios Including Expanded AI Protections"— April 2026

"SAG-AFTRA and Studios to Resume Negotiations on April 27"— Hollywood Reporter, April 2026

"What's At Stake in the WGA and SAG-AFTRA 2026 Negotiations"— No Film School, 2026

Corey Frost